$ \huge{ \ \text{ Autor del blog } \ \mathbb{R}a\!\!\int\!\!{\alpha}{\varepsilon}\ell \ \ {\rm I\!R}{\acute{\textrm{a}}}\pi\partial{\in} z \ \ \mathbf{G}a\tau\varsigma\acute{\iota}@} \quad \mathbb{R}^2 \mathbb{G} $


El aprendizaje ocurre cuando alquien quiere aprender, no cuando alguien quiere enseñar. «Roger Schanck»


Si quieres aprender enseña. «Cicerón»


Cuando uno enseña, dos aprenden. «Robert Heinlein»


Si la gente no cree que las matemáticas son sencillas, es sólo porque no se da cuenta de lo complicada que es la vida. «John Von Neumann»

«George Polya» dijo una vez: «Es mejor resolver un problema de 5 formas diferentes que resolver 5 problemas de la misma forma».

En este blog está escrito en $\Large \LaTeX $ usando Powered by MathJax

El humor es importante.

Matemáticas, humor y +.

Hay que tomarse siempre las cosas con un poco de humor ... con mucho humor y más humor ¿Quién no ha pasado por estos estado...

martes, 24 de noviembre de 2020

Divisores naturales y enteros de un número entero.



 Vamos a ver como calcular los divisores naturales de un número entero. Vamos con un ejemplo.

Ejemplo 1: Calcular los divisores de 72:

1. Primero hacemos la descomposición factorial del número:


2. Tenemos el número como producto de potencias de números primos. Para calcular el número de divisores de un número, se multiplican los exponentes de los factores primos aumentados en una unidad. En este caso, los exponentes son 3 y 2, les sumamos 1 a cada uno de los exponentes y los multiplicamos. Así el número de divisores será:



$(3 + 1) \cdot (2 + 1) = 4 \cdot 3 = 12 $ divisores naturales

3. Para calcular los mismos, construimos una tabla, en la parte superior, ponemos los divisores de una de las dos potencias de primos, por ejemplo, los divisores de $2^3$, que son: 1, $2^1$, $2^2$ y $2^3$ y en el parte lateral, los divisores de la otra potencia, la de $3^2$, es decir, 1, $3^1$ y $3^2$.



Ahora rellenamos la tabla, multiplicando el 1 por 1, 2, 4 y 8. El 3 por 1, 2, 4 y 8 y así sucesivamente. Es decir,



En esta tabla tenemos los 12 divisores naturales del número 72. Si ahora, a cada divisor le asociamos el signo más y menos, tenemos los 24 divisores enteros del número 72. 


En este ejemplo, el número 72 es producto de dos potencias de números primos. Pero, ¿qué pasa si el número es potencia de tres o más números primos? Veamos otro ejemplo.


Ejercicios:


$ \begin{array}{{2}{c}|{2}{l}} 36 & 2 \\ 18 & 2 \\ \ 9 & 3 \Rightarrow 36 = 2^\textcolor{red}{2} \cdot 3^\textcolor{blue}{2} \\ \ 3 & 3 \\ \ 3 & {} \\ \end{array} \qquad \text{El número de divisores es } (\textcolor{red}{2} + 1) \cdot (\textcolor{blue}{2} + 1) = 3 \cdot 3 = 9 \qquad \begin{array}{{2}{c}|{2}{c}{2}{c}{2}{c}} \ & 1 & 2 & \ 4 \ \ \ \\ \hline 1 & 1 & \ 2 & \ 4 \\ 3 & 3 & \ 6 & 12 \\ 9 & 9 & 18 & 36 \\ \end{array} $






$ \begin{array}{{2}{c}|{2}{l}} 75 & 3 \\ 25 & 5 \Rightarrow 75 = 3^\textcolor{red}{1} \cdot 5^\textcolor{blue}{2} \\ \ 5 & 5 \\ \ 1 & {} \\ \end{array} \qquad \text{El número de divisores es } (\textcolor{red}{1} + 1) \cdot (\textcolor{blue}{2} + 1) = 2 \cdot 3 = 6 \qquad \begin{array}{{2}{c}|{2}{c}{2}{c}{2}{c}} \ & 1 & \ 5 & \ 25 \ \ \ \\ \hline 1 & 1 & \ 5 & 25 \\ 3 & 3 & 15 & 75 \\ \end{array} $






$ \begin{array}{{2}{r}|{2}{l}} 108 & 2 \\ 54 & 2 \\ 27 & 3 \Rightarrow 108 = 3^\textcolor{red}{2} \cdot 3^\textcolor{blue}{3} \\ 9 & 3 \\ 3 & 3 \\ 1 & {} \\ \end{array} \qquad \text{El número de divisores es } (\textcolor{red}{2} + 1) \cdot (\textcolor{blue}{3} + 1) = 3 \cdot 4 = 12 \qquad \begin{array}{{2}{r}|{2}{r}{2}{r}{2}{r}} \ & 1 & \ 2 & \ \ 4 \\ \hline 1 & 1 & 2 & 4 \\ 3 & 3 & 6 & 12 \\ 9 & 9 & 18 & 36 \\ 27 & 27 & 54 & 108 \\ \end{array} $






$ \begin{array}{{2}{r}|{2}{l}} 196 & 2 \\ 98 & 2 \\ 49 & 7 \Rightarrow 196 = 2^\textcolor{red}{2} \cdot 7^\textcolor{blue}{2} \\ 7 & 7 \\ 1 & {} \\ \end{array} \qquad \text{El número de divisores es } (\textcolor{red}{2} + 1) \cdot (\textcolor{blue}{2} + 1) = 3 \cdot 3 = 9 \qquad \begin{array}{{2}{r}|{2}{r}{2}{r}{2}{r}} \ & 1 & \ 2 & \ \ 4 \\ \hline 1 & 1 & 2 & 4 \\ 7 & 7 & 14 & 28 \\ 49 & 39 & 98 & 196 \\ \end{array} $






$ \begin{array}{{2}{r}|{2}{l}} 200 & 2 \\ 100 & 2 \\ 50 & 2 \Rightarrow 200 = 2^\textcolor{red}{3} \cdot 5^\textcolor{blue}{2} \\ 25 & 5 \\ 5 & 5 \\ 1 & {} \\ \end{array} \qquad \text{El número de divisores es } (\textcolor{red}{3} + 1) \cdot (\textcolor{blue}{2} + 1) = 4 \cdot 3 = 12 \qquad \begin{array}{{2}{r}|{2}{r}{2}{r}{2}{r}} \ & 1 & \ 2 & \ 4 & \ \ 8 \\ \hline 1 & 1 & 2 & 4 & 8 \\ 5 & 5 & 10 & 20 & 40 \\ 25 & 25 & 50 & 100 & 200 \\ \end{array} $






$ \begin{array}{{2}{r}|{2}{l}} 225 & 3 \\ 75 & 3 \\ 25 & 5 \Rightarrow 225 = 3^\textcolor{red}{2} \cdot 5^\textcolor{blue}{2} \\ 5 & 5 \\ 1 & {} \\ \end{array} \qquad \text{El número de divisores es } (\textcolor{red}{2} + 1) \cdot (\textcolor{blue}{2} + 1) = 3 \cdot 3 = 9 \qquad \begin{array}{{2}{r}|{2}{r}{2}{r}{2}{r}} \ & 1 & \ 5 & \ 25 \\ \hline 1 & 1 & 5 & 25 \\ 3 & 3 & 15 & 75 \\ 9 & 9 & 45 & 225 \\ \end{array} $






$ \begin{array}{{2}{r}|{2}{l}} 500 & 2 \\ 250 & 2 \\ 125 & 5 \Rightarrow 500 = 2^\textcolor{red}{3} \cdot 5^\textcolor{blue}{3} \\ 25 & 5 \\ 5 & 5 \\ 1 & {} \\ \end{array} \qquad \text{El número de divisores es } (\textcolor{red}{3} + 1) \cdot (\textcolor{blue}{3} + 1) = 4 \cdot 4 = 16 \qquad \begin{array}{{2}{r}|{2}{r}{2}{r}{2}{r}} \ & 1 & \ 2 & \ \ 4 \\ \hline 1 & 1 & 2 & 4 \\ 5 & 5 & 10 & 20 \\ 25 & 25 & 50 & 100 \\ 125 & 125 & 250 & 200 \\ \end{array} $





Ejemplo 2: Vamos a calcular los divisores naturales de 1.400.

1. Primero hacemos la descomposición factorial del número:



2. Ahora calculamos el número de divisores. Cogemos los exponentes, les sumamos 1 y los multiplicamos. En este caso, los exponentes son 3, 2 y 1, les sumamos 1 a cada uno de los exponentes y los multiplicamos. Así el número de divisores será:


$(3 + 1) \cdot (2 + 1) \cdot (1 + 1) = 4 \cdot 3 \cdot 2 = 24$ divisores naturales

3. Como tenemos 3 potencias de números primos, cogemos dos de ellos y hacemos la tabla anterior. Después haremos otra tabla más, en la parte superior pondremos los divisores ordenados obtenidos en la primera tabla y en el lateral, los divisores de la potencia del primo que nos queda. Vamos paso a paso.

4. Construimos la tabla con los divisores del $2^3$ en la parte superior y los de $5^2$ en el lateral:



5. Cogemos ahora los divisores calculados en la tabla anterior y los ponemos ordenados de forma creciente en la parte superior y en el lateral los divisores de 7:



6. Así hemos calculado los 24 divisores naturales de 1.400. Si ahora, a cada divisor le asociamos el signo más y menos, tenemos los 48 divisores enteros del número 1.400. 


NOTA: Para calcular los divisores de un número, construiremos las tablas necesarias para ello, siempre será una tabla menos que el número de factores primos que aparecen en la descomposición del número que nos piden.

NOTA: Para calcular los divisores enteros de un número natural o entero, al calcular los divisores lo único que haremos será añadir el $\pm$ a cada uno de los divisores.


Ejercicios:


$ \begin{array}{{2}{r}|{2}{l}} 300 & 2 \\ 150 & 2 \\ 75 & 3 \Rightarrow 300 = 2^\textcolor{red}{2} \cdot 3^\textcolor{blue}{1} \cdot 5^\textcolor{green}{2} \\ 25 & 5 \\ 5 & 5 \\ 1 & {} \\ \end{array} \qquad \text{El número de divisores es } (\textcolor{red}{2} + 1) \cdot (\textcolor{blue}{1} + 1) \cdot (\textcolor{green}{2} + 1) = 3 \cdot 2 \cdot 3 = 18 \qquad \begin{array}{{2}{r}|{2}{r}{2}{r}} \ & 1 & \ 2 & \ 4 \\ \hline 1 & 1 & 2 & 4 \\ 3 & 3 & 6 & 12 \\ \end{array} $
Ahora necesitamos una $\odn{2}{a}$ tabla para terminar de calcular los divisores de 300:
$$ \begin{array}{{2}{r}|{2}{r}{2}{r}{2}{r}{2}{r}{2}{r}{2}{r}} \ & 1 & \ 2 & \ 3 & \ 4 & \ 6 & \ 12 \\ \hline 1 & 1 & 2 & 3 & 4 & 6 & 12 \\ 5 & 5 & 10 & 15 & 20 & 30 & 60 \\ 25 & 25 & 50 & 75 & 100 & 150 & 300 \\ \end{array} $$






$ \begin{array}{{2}{r}|{2}{l}} 360 & 2 \\ 180 & 2 \\ 90 & 2 \Rightarrow 360 = 2^\textcolor{red}{3} \cdot 3^\textcolor{blue}{2} \cdot 5^\textcolor{green}{1} \\ 45 & 3 \\ 15 & 3 \\ 5 & 5 \\ 1 & {} \\ \end{array} \qquad \text{El } n^{\underline{\circ}} \text{ de divisores es } (\textcolor{red}{3} + 1) \cdot (\textcolor{blue}{2} + 1) \cdot (\textcolor{green}{1} + 1) = 4 \cdot 3 \cdot 2 = 24 \qquad \begin{array}{{2}{r}|{2}{r}{2}{r}} \ & 1 & \ 2 & \ 4 & \ 8 \\ \hline 1 & 1 & 2 & 4 & 8 \\ 3 & 3 & 6 & 12 & 24 \\ 9 & 9 & 18 & 36 & 72 \\ \end{array} $
Ahora necesitamos una $\odn{2}{a}$ tabla para terminar de calcular los divisores de 360:
$$ \begin{array}{{2}{r}|{2}{r}{2}{r}{2}{r}{2}{r}{2}{r}{2}{r}} \ & 1 & \ 2 & \ 3 & \ 4 & \ 6 & \ 8 & \ 9 & \ 12 & \ 18 & \ 24 & \ 36 & \ 72 \\ \hline 1 & 1 & 2 & 3 & 4 & 6 & 8 & 9 & 12 & 18 & 24 & 36 & 72 \\ 5 & 5 & 10 & 15 & 20 & 30 & 40 & 45 & 60 & 90 & 120 & 180 & 360 \\ \end{array} $$






$ \begin{array}{{2}{r}|{2}{l}} 600 & 2 \\ 300 & 2 \\ 150 & 2 \\ 75 & 3 \Rightarrow 600 = 2^\textcolor{red}{3} \cdot 3^\textcolor{blue}{1} \cdot 5^\textcolor{green}{2} \\ 25 & 5 \\ 5 & 5 \\ 1 & {} \\ \end{array} \qquad \text{El } n^{\underline{\circ}} \text{ de divisores es } (\textcolor{red}{3} + 1) \cdot (\textcolor{blue}{1} + 1) \cdot (\textcolor{green}{2} + 1) = 4 \cdot 2 \cdot 3 = 24 \qquad \begin{array}{{2}{r}|{2}{r}{2}{r}} \ & 1 & \ 2 & \ 4 & \ 8 \\ \hline 1 & 1 & 2 & 4 & 8 \\ 3 & 3 & 6 & 12 & 24 \\ \end{array} $
Ahora necesitamos una $\odn{2}{a}$ tabla para terminar de calcular los divisores de 600:
$$ \begin{array}{{2}{r}|{2}{r}{2}{r}{2}{r}{2}{r}{2}{r}{2}{r}} \ & 1 & \ 2 & \ 3 & \ 4 & \ 6 & \ 8 & \ 12 & \ 24 \\ \hline 1 & 1 & 2 & 3 & 4 & 6 & 8 & 12 & 24 \\ 5 & 5 & 10 & 15 & 20 & 30 & 40 & 60 & 120 \\ 25 & 25 & 50 & 75 & 100 & 150 & 200 & 300 & 600 \\ \end{array} $$






$ \begin{array}{{2}{r}|{2}{l}} 980 & 2 \\ 490 & 2 \\ 245 & 5 \Rightarrow 980 = 2^\textcolor{red}{2} \cdot 5^\textcolor{blue}{1} \cdot 7^\textcolor{green}{2} \\ 49 & 7 \\ 7 & 7 \\ 1 & {} \\ \end{array} \qquad \text{El } n^{\underline{\circ}} \text{ de divisores es } (\textcolor{red}{2} + 1) \cdot (\textcolor{blue}{1} + 1) \cdot (\textcolor{green}{2} + 1) = 3 \cdot 2 \cdot 3 = 18 \qquad \begin{array}{{2}{r}|{2}{r}{2}{r}} \ & 1 & \ 2 & \ 4 \\ \hline 1 & 1 & 2 & 4 \\ 5 & 5 & 10 & 20 \\ \end{array} $
Ahora necesitamos una $\odn{2}{a}$ tabla para terminar de calcular los divisores de 980:
$$ \begin{array}{{2}{r}|{2}{r}{2}{r}{2}{r}{2}{r}{2}{r}{2}{r}} \ & \ 1 & \ 2 & \ 4 & \ 5 & \ 10 & \ 20 \\ \hline 1 & 1 & 2 & 4 & 5 & 10 & 20 \\ 7 & 7 & 14 & 28 & 35 & 70 & 140 \\ 49 & 49 & 98 & 196 & 245 & 490 & 980 \\ \end{array} $$





Ejercicio: calcula los divisores de 6300.



Iremos actualizando esta sección con los ejercicios que nos pidáis, para ello podéis mandar un correo a profesor.maties@gmail.com






Calculadora de divisores
Calcula los divisores de un número.

lunes, 16 de noviembre de 2020

Trigonometría. Interpretación geométrica de las razones trigonométricas. Seno, coseno de la suma de ángulos.

Veamos una imagen que explica la interpretación geométrica de las razones trigonométricas de un ángulo del primer cuadrante:




El COSENO y la COTANGENTE de un ángulo $\alpha$ se llaman precisamente COseno y COtangente porque son, respectivamente, el seno y la tangente del ángulo COmplementario a $\alpha$ (que es $90^{\circ} - \alpha$ o en radianes $ \dfrac{\ \pi\ }{2} - \alpha$).

Un esquema con el signo de las razones trigonométricas en cada uno de los cuadrantes: 







Veamos ahora en una simulación de GeoGebra



Si quieres, aquí tienes el enlace de Geogebra


Razones trigonométricas de la suma de dos ángulos: 

Si quieres, aquí tienes el enlace de Geogebra.

Entrada del blog donde se indican las razones trigonométricas de los ángulos notables entre $[0, 2\pi]$ y las conversiones de grados a radianes, de radianes a grados, de grados decimales a sexagesimales y de grados sexagesimales a decimales.

Entrada del blog donde se indican los teoremas del seno, coseno y de la tangente.

jueves, 5 de noviembre de 2020

Ortografía. Signos ortográficos. Rae: diccionario y preguntas frecuentes.

Una de las cosas que más me llama la atención en el instituto es cuando hablamos de la letra «ñ». Los alumnos no saben como se llama el símbolo que está sobre la letra «n». Personalmente el nombre me encanta y la mayoría de los alumnos ni llegan a imaginarse que tiene un nombre. Por internet vi está imagen que como dice el refrán «una imagen vale más que mil palabras». 


También me llama la atención la cantidad de faltas de ortografía que cometen los alumn@s. Tenemos el diccionario en internet y aplicación para el móvil de la Real Academia de la Lengua. Además la página web de la RAE tiene una sección de preguntas frecuentes.

Otra foto que sirve de ayuda a la hora de la puntuación



Truco: 

El truco para saber siempre si es «a ver» o «haber»
En la mayoría de los casos, la secuencia «a ver» puede reemplazarse por «veamos».


Espero que os sirva. Seguiremos actualizando esta sección. 





miércoles, 4 de noviembre de 2020

Fracciones parciales. Descomposición de fracciones algebraicas en fracciones más sencillas.

 Fracciones Parciales


Dos polinomios son iguales si tienen el mismo grado y sus coeficientes son iguales.

Si dos polinomios son iguales, coincide su valor para cualquier valor de $x$.


Fracciones Propias e Impropias

Definición: Se dice que una fracción racional $\dfrac{P(x)}{Q(x)}$ es una fracción propia, si el grado del polinomio $P(x)$ es menor que el grado del polinomio $Q(x)$. En caso contrario, es decir, si el grado de $P(x)$ es mayor o igual al de $Q(x)$, la fracción se llama impropia. 

Toda fracción impropia se puede expresar, efectuando la división, como la suma de un polinomio mas una fracción propia. Es decir, 

$$ \dfrac{P(x)}{Q(x)} = C(x) + \dfrac{d(x)}{Q(x)} $$

Vamos a descomponer un fracción propia en suma de fracciones más sencillas. Tenemos 4 casos:

Caso I: El denominador $Q(x)$ es un producto de factores lineales distintos. Esto significa que podemos escribir

$$ Q(x) = \left(a_{1} x + b_{1} \right) \left( a_{2} x + b_{2} \right ) \cdots \left( a_{k} x + b_{k} \right ) $$

en donde no hay factor que se repita. En este caso, existen constantes $A_{1}, A_{2}, \cdots, A_{k}$ tales que

$$ \dfrac{P(x)}{Q(x)} = \dfrac{A_{1}}{a_{1}x + b_{1}} + \dfrac{A_{2}}{a_{2} x + b_{2}} + \cdots + \dfrac{A_{k}}{a_{k} x + b_{k}} $$

Ejemplo 1: Descomponer en fracciones parciales la fracción: $$ \dfrac{7x + 3}{ x^2 + 3x - 4} $$

Tenemos que el denominador se puede descomponer en factores simples como sigue:

$$ x^2 + 3x - 4 = (x + 4)(x - 1) $$

Luego la descomposición en fracciones parciales es:

$$ \dfrac{7x + 3}{x^2 + 3x - 4} = \dfrac{7x + 3}{(x + 4)(x - 1)} = \dfrac{A}{x + 4} + \dfrac{B}{x - 1 } $$

Para encontrar los valores de $A$ y $B$, ponemos común denominador, obteniendo

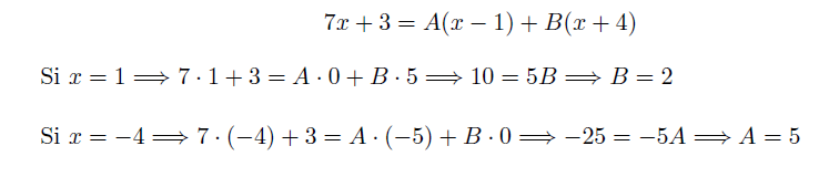
$$ 7x + 3 = A(x - 1) + B(x + 4) $$

En este punto tenemos dos opciones:

     a) Desarrollando e igualando las potencias de $x$ y el término independiente se obtiene el siguiente sistema de ecuaciones:

        $$7x + 3 = Ax - A + Bx + 4B $$ 

    De $x$ tenemos que $7x  = Ax + Bx$;

    del término independiente $ 3 = - A + 4B $



    b) Calculando valores de los polinomios. ¿Qué valores de $x$ vamos a coger? Está claro, ¿no? Cogeremos las raíces, $x = 1$ y $x = -4$



Por lo que la fracción original queda:

$$ \dfrac{7x + 3}{x^2 + 3x - 4} = \dfrac{5}{x + 4} + \dfrac{2}{x - 1} $$


Ejemplo 2 $$ \dfrac{x^2 + 2x - 1}{2x^3 + 3x^2 - 2x } $$

Solución Se tiene que el denominador se puede factorizar como sigue:

$$ 2 x^3 + 3x^2 - 2x = x \left( 2x^2 + 3x - 2 \right ) = x(2x - 1)(x + 2) $$

Luego, la descomposición en fracciones parciales es:

$$ \dfrac{x^2 + 2x - 1}{x(2x - 1)(x + 2)} = \dfrac{A}{x} + \dfrac{B}{2x - 1} + \dfrac{C}{x + 2} $$

Ponemos denominador común y tenemos: 

$$ \dfrac{x^2 + 2x - 1}{x(2x - 1)(x + 2)} = \dfrac{A(2x - 1)(x + 2) + Bx(x + 2) + Cx(2x - 1) }{x(2x - 1)(x + 2)} $$

igualando numeradores se obtiene

$$ x^2 + 2x - 1 = A(2x - 1)(x + 2) + Bx(x + 2) + Cx(2x - 1) \qquad (1) $$

En este punto tenemos dos opciones:

a) Desarrollando e igualando las potencias de $x$ y el término independiente se obtiene el siguiente sistema de ecuaciones: \\

$$ x^2 + 2x - 1 = A(2x^2 + 4x - x - 2) + B(x^2 + 2x) + C(2x^2 - x) $$

$$ x^2 + 2x - 1 = 2Ax^2 + 3Ax - 2A + Bx^2 + 2Bx + 2Cx^2 - Cx $$

$$ x^2 + 2x - 1 = x^2(2A + B + 2C) + x(3A + 2B - C) - 2A $$




es decir

$$A = \dfrac{1}{2}, \quad B = \dfrac{1}{5}, \quad \text{y} \quad C = -\dfrac{1}{10}$$

así

$$ \dfrac{x^2 + 2x - 1}{2x^3 + 3x^2 - 2x} = \dfrac{ \dfrac{1}{2} }{x} + \dfrac{ \dfrac{1}{5} }{2x - 1} + \dfrac{ - \dfrac{1}{10}}{x + 2}  =  \dfrac{ 1 }{2x} + \dfrac{ 1 }{5(2x - 1)} - \dfrac{ 1 }{10(x + 2)}  $$

    b) Calculando valores de los polinomios. Si en (1) damos valores tenemos:

$$ x^2 + 2x - 1 = A(2x - 1)(x + 2) + Bx(x + 2) + Cx(2x - 1) $$

$$x = 0  \Longrightarrow -1 = -2A \Rightarrow A = \dfrac{1}{2} $$

$$x = -2 \Longrightarrow -1 = C(-2)(2\cdot(-2) - 1) \Rightarrow -1 = 10C \Rightarrow C = -\dfrac{1}{10} $$

$$x = \dfrac{1}{2} \Longrightarrow \dfrac{1}{4} = B\dfrac{1}{2} \cdot \left ( \dfrac{1}{2} + 2 \right ) \Rightarrow \dfrac{1}{4} = B\dfrac{5}{4} \Rightarrow B = \dfrac{1}{5} $$


  Caso II: El denominador $Q(x)$ es un producto de factores lineales, algunos de los cuales se repiten.

Si $Q(x)$ tiene un factor lineal repetido $k$ veces de la forma $\left(a_{1} x + b_{1}\right)^{k},$ entonces la descomposición en fracciones parciales contiene $k$ términos de la forma:

$$ \dfrac{A_{1}}{a_{1}x + b_{1}} + \dfrac{A_{2}}{\left(a_{1}x + b_{1} \right)^{2}} + \cdots + \dfrac{A_{k}}{\left(a_{1} x+b_{1}\right)^{k}} \text{ donde } A_{1}, A_{2}, \cdots, A_{k} \text{ son constantes. } $$ \\

Ejemplo 3 Descomponer en fracciones parciales:

$$ \dfrac{5x^2 - 36x + 48}{x(x - 4)^2} $$

La descomposicion en fracciones parciales es:

$$ \dfrac{5x^{2} -36x + 48}{x(x - 4)^{2}} = \dfrac{A}{x} + \dfrac{B}{(x - 4)} + \dfrac{C}{(x - 4)^{2}} $$

Poniendo denominador común

$$ \dfrac{5x^{2} -36x + 48}{x(x - 4)^{2}} = \dfrac{A(x - 4)^2 + Bx(x - 4) + Cx}{x(x - 4)^{2}} $$

Igualando numeradores tenemos 

$$ 5x^2 - 36x + 48 = A(x - 4)^2 + Bx(x - 4) + Cx \qquad (2) $$

En este punto tenemos dos opciones:

    a) Desarrollando e igualando las potencias de $x$ y el término independiente se obtiene el siguiente sistema de ecuaciones:

$$ 5x^2 - 36x + 48 = A(x^2 - 8x + 16) + B(x^2 - 4x) + Cx $$

$$ 5x^2 - 36x + 48 = x^2(A + B) + x(- 8A - 4B + C) + 16A $$

obteniendo el sistema:

Luego:

$$ \dfrac{5x^2 - 36x + 48}{x(x - 4)^2} = \dfrac{3}{x} + \dfrac{2}{x - 4} - \dfrac{4}{(x - 4)^2} $$

   b) Calculando valores de los polinomios. Si damos valores en (2) tenemos: \\ \\ 

$x = 0 \Longrightarrow 48 = 16 A \Rightarrow A = \dfrac{48}{16} = 3 $ \\ \\

$x = 4 \Longrightarrow -16 = 4 C \Rightarrow C = \dfrac{-16}{4} = -4 $ \\ \\

$x = 1 \Longrightarrow 17 = 9A - 3B + C \Rightarrow 17 = 27 -3B -4 \Rightarrow -6 = -3B \Rightarrow B = 2 $

Ejemplo 4 Descomponer en fracciones parciales:

$$  \dfrac{4x - 4}{x^3 - 4x^2 + 4x} $$

Factorizamos el denominador

$$ x^3 - 4x^2 + 4x = x ( x - 2 )^2 $$ 

Por lo tanto, su descomposición en fracciones parciales es:

$$ \dfrac{4x - 4}{x ( x - 2 )^2} = \dfrac{A}{x} + \dfrac{B}{x - 2} + \dfrac{C}{(x - 2)^2} $$

poniendo común denominador:

$$ \dfrac{4x - 4}{x ( x - 2 )^2} = \dfrac{A( x - 2 )^2 + B x ( x - 2 ) + Cx}{x(x - 2)^2} $$

igualando numeradores tenemos: 

$$ 4x - 4 = A( x - 2 )^2 + B x ( x - 2 ) + Cx \qquad \text{(4)}$$ 

En este punto tenemos dos opciones:

    a) Desarrollando e igualando las potencias de $x$ y el término independiente se obtiene el siguiente sistema de ecuaciones:

$$ 4x - 4 = A( x - 2 )^2 + B x ( x - 2 ) + Cx $$

$$ 4x - 4 = Ax^2 -4Ax + 4A + Bx^2 - 2Bx + Cx $$

obteniendo el sistema:

Luego:

$$ \dfrac{4x - 4}{x^3 - 4x^2 + 4x} = \dfrac{-1}{x} + \dfrac{1}{x - 2} - \dfrac{2}{(x - 2)^2} $$ 

   b) Calculando valores de los polinomios. Si damos valores en (4) tenemos:

$x = 2 \Longrightarrow 4 = 2C \Rightarrow C = \dfrac{4}{2} = 2 $

$x = 0 \Longrightarrow -4 = 4 A \Rightarrow A = \dfrac{-4}{4} = -1 $

$x = 1 \Longrightarrow 0 = A - B + C \Rightarrow B = A + C = 2 - 1 = 1 $



Ejemplo 5 Descomponer en fracciones parciales una fracción impropia:

$$ \dfrac{x^4 - 2x^2 + 4x + 1}{x^3 - x^2 - x + 1 } $$

Comenzaremos por dividir los polinomios

$$ \dfrac{x^4 - 2x^2 + 4x + 1}{x^3 - x^2 - x + 1} = x + 1 + \dfrac{4x}{x^3 - x^2 - x + 1} $$

luego, factorizando el denominador $ x^3 - x^2 - x + 1 $ resulta

$$ x^3 - x^2 - x + 1 = (x + 1)(x - 1)^{2} $$

Por lo tanto, su descomposición en fracciones parciales es:

$$ \dfrac{4x}{(x+1)(x - 1)^2} = \dfrac{A}{x - 1} + \dfrac{B}{(x - 1)^2} + \dfrac{C}{x + 1} $$

poniendo denominador común:

$$ 4x = A(x + 1)(x - 1) + B(x + 1) + C(x - 1)^2 \qquad (5) $$

$$ 4x = A(x^2 - 1) + B(x + 1) + C(x^2 - 2x + 1) $$

$$ 4x = x^2(A + C) + x(B - 2C) - A + B + C $$

En este punto tenemos dos opciones:

    a) Desarrollando e igualando las potencias de $x$ y el término independiente se obtiene el siguiente sistema de ecuaciones:


del cual de obtiene: $A = 1, \quad B = 2$ y $C = -1$ de modo que

$$ \dfrac{x^4 - 2x^2 + 4x + 1}{x^3 - x^2 - x + 1} = x + 1 + \dfrac{1}{x - 1} + \dfrac{2}{ (x - 1)^2 } - \dfrac{1}{x + 1} $$

   b) Si damos valores en (5) tenemos:

$$x = 1 \Longrightarrow 4 = 2 B \Rightarrow B = 2 $$

$$x = -1 \Longrightarrow -4 = 4 C \Rightarrow C = -1 $$

$$x = 0 \Longrightarrow 0 = -A + B + C \Rightarrow 0 = -A + 2 - 1 \Rightarrow A = 1 $$


Al principio habéis visto que habría 4 casos, los dos que quedan los añadiré más adelante. 



A continuación proponemos unos cuantos ejercicios:



Lo primero que tenmos que haces es factorizar el denominador: $ x^2 - 5x + 6 $. Podemos usar la fórmula para resolver ecuaciones de segundo grado o Ruffini. Sea el método que sea, vemos que podemos factorizar el denominador $ x^2 - 5x + 6 = (x- 2) \cdot (x - 3)$

Así sabemos que $ \dfrac{5x + 13}{x^2 - 5x + 6} = \dfrac{A}{x - 2} + \dfrac{B}{x - 3} $ con $A$ y $B$ constantes.

$$ \dfrac{5x + 13}{x^2 - 5x + 6} = \dfrac{A}{x - 2} + \dfrac{B}{x - 3} = \dfrac{A \cdot (x -3) + B \cdot (x - 2) }{ (x - 2) \cdot (x - 3) } $$ Ahora tenemos que ver que $5x + 13 = A \cdot (x - 3) + B \cdot (x - 2) $ y para resolver esto, es decir, que dos polinomios son iguales lo podemos hacer de dos formas:
  1. Igualando coeficientes
  2. Evaluando valores

Vamos hacerlo evaluando valores:

Si $x = 2 \Rightarrow 5 \cdot 2 + 13 = - B \Rightarrow 23 = - B \Rightarrow B = -23 $

Si $x = 3 \Rightarrow 5 \cdot 3 + 13 = A \Rightarrow A = 28 $

Luego $$ \dfrac{5x + 13}{x^2 - 5x + 6} = \dfrac{28}{x - 3 } - \dfrac{23}{x - 2} $$






Lo primero que tenmos que haces es factorizar el denominador: $ x^3 + 6x^2 + 11x + 6 $. Usaremos Ruffini para calcuar las posibles raíces, vemos que las raíces no pueden ser positivas ya que nunca sería cero. Probamos con -1 y vemos que es raíz. Así tenemos que $x^3 + 6x^2 + 11x + 6 = (x + 1) \cdot (x^2 + 5x + 6)$ Si seguimos aplicando Ruffini tenemos que $x^3 + 6x^2 + 11x + 6 = (x + 1) \cdot (x + 2) \cdot (x + 3) $.

Así sabemos que $ \dfrac{6x^2 + 22x + 18}{x^3 + 6x^2 + 11x + 6} = \dfrac{A}{x + 1} + \dfrac{B}{x + 2} + \dfrac{C}{x +3} $ con $A$, $B$ y $C$ constantes.

$$ \dfrac{6x^2 + 22x + 18}{x^3 + 6x^2 + 11x + 6} = \dfrac{A}{x + 1} + \dfrac{B}{x + 2} + \dfrac{C}{x +3} = \dfrac{A \cdot (x + 2) \cdot (x + 3) + B \cdot (x + 1) \cdot (x + 3) + C \cdot (x + 1) \cdot (x + 2) } { (x + 1) \cdot (x + 2) \cdot (x + 3) } $$ Ahora tenemos que ver que $6x^2 + 22x + 18 = A \cdot (x + 2) \cdot (x + 3) + B \cdot (x + 1) \cdot (x + 3) + C \cdot (x + 1) \cdot (x + 2) $ y para resolver esto, es decir, que dos polinomios son iguales lo podemos hacer de dos formas:
  1. Igualando coeficientes
  2. Evaluando valores

Vamos hacerlo evaluando valores:

Si $x = -1 \Rightarrow 6 \cdot (-1)^2 + 22 \cdot (-1) + 18 = A \cdot (-1 + 2) \cdot (-1 + 3) \Rightarrow 2 = 2 \cdot A \Rightarrow A = 1 $

Si $x = -2 \Rightarrow 6 \cdot (-2)^2 + 22 \cdot (-2) + 18 = B \cdot (-2 + 1) \cdot (-2 + 3) \Rightarrow -2 = - B \Rightarrow B = 2 $

Si $x = -3 \Rightarrow 6 \cdot (-3)^2 + 22 \cdot (-3) + 18 = C \cdot (-3 + 1) \cdot (-3 + 2) \Rightarrow 6 = 2C \Rightarrow C = 3 $

Luego $$ \dfrac{6x^2 + 22x + 18}{x^3 + 6x^2 + 11x + 6} = \dfrac{1}{x + 1} + \dfrac{2}{x + 2} + \dfrac{3}{x + 3} $$





En este caso el grado de los polinomios del numerador y denominador son iguales, tenemos que hacer la división «en caja» y nos quedará:
$$ - (x^2 + 4x + 6) = (x^2 - 3x + 2) \cdot (-1) - ( 7x + 4 ) \Rightarrow - \dfrac{x^2 + 4x + 6 }{x^2 - 3x + 2} = - 1 - \dfrac{7x + 4}{x^2 -3x + 2} $$ Luego tenemos que descomponer $\dfrac{7x + 4}{x^2 -3x + 2}$ es fracciones simples:

El denominador $ x^2 - 3x + 2 $, como 1 es raíz se factoriza rápidamente $ x^2 - 3x + 2 = (x - 1) \cdot (x - 2) $ luego

$\dfrac{7x + 4}{x^2 -3x + 2} = \dfrac{A}{x - 1} + \dfrac{B}{x - 2} = \dfrac{ A \cdot (x - 2) + B \cdot (x - 1) }{ x^2 -3x + 2 }$

Evaluando tenemos:

Si $x = 1 \Rightarrow 7\cdot 1 + 4 = -A \Rightarrow A = -11 $

Si $x = 2 \Rightarrow 7\cdot 2 + 4 = B \Rightarrow B = 18 $

Luego $$ \dfrac{7x + 4}{x^2 -3x + 2} = \dfrac{-11}{x - 1} + \dfrac{18}{x - 2} $$ y por tanto $$ - \dfrac{x^2 + 4x + 6 }{x^2 - 3x + 2} = -1 - \dfrac{7x + 4}{x^2 - 3x + 2} = - 1 - \dfrac{18}{x - 2} + \dfrac{11}{x - 1} $$






$$ \dfrac{2}{x - 2} + \dfrac{1}{x - 1} + \dfrac{1}{(x - 1)^2} $$






$$ \dfrac{2}{(x - 2)^2} - \dfrac{2}{x + 3} - \dfrac{2}{x - 1} $$






$$ 1 + \dfrac{-3x^{2} + 14x + 32}{x^{3} + 2x^{2} - 4x - 8} = 1 + \dfrac{3}{x - 2} - \dfrac{6}{x + 2} + \dfrac{2}{(x + 2)^2} $$




Caso III: El denominador $Q(x)$ contiene factores cuadráticos irreductibles, ninguno de los cuales se repite.
Si $Q(x)$ tiene un factor cuadrático no repetido de la forma $ax^2 + bx + c$, en donde, $b^2 - 4ac < 0$, entonces la descomposición en fracciones parciales contiene un término de la forma:
$$ \dfrac{ Ax + B }{ ax^2 + bx + c } \qquad \text{ donde } A \text{ y } B \text{ son constantes } $$
Ejemplo 6 Descomponer en fracciones parciales: $$ \dfrac{4x^2 - 8x + 1}{x^3 - x + 6} $$ Tenemos que $$ \dfrac{ 4x^2 - 8x + 1 }{ x^3 - x + 6 } = \dfrac{4x^2 - 8x + 1}{(x + 2) \left( x^2 - 2x + 3 \right ) } = \dfrac{A}{x + 2} + \dfrac{B x + C}{x^2 - 2x + 3} $$ multiplicando por el común denominador: $$ 4x^2 - 8x + 1 = A \left( x^2 - 2x + 3 \right) + (Bx + C)(x + 2) \qquad (4) $$ $$ 4x^2 - 8x + 1 = Ax^2 - 2Ax + 3A + Bx^2 + 2Bx + Cx + 2C $$ $$ 4x^2 - 8x + 1 = x^2(A + B) + x(-2A + 2B + 2C) + 3A + 2C $$ obteniendo el sistema $$\left \{ \begin{array}{ll} A + B & = 4 \Rightarrow B = 4 - A \cr -2A + 2B + C & = -8 \\ %\quad \text { de donde } \quad A=3, B=1, C=-4 \cr 3A + 2C & = 1 \Rightarrow C = \dfrac{1 - 3A}{2} \end{array} \right. $$ Por lo tanto, $$ -2A + 2(4 - A) + \dfrac{1 - 3A}{2} = -8 \Rightarrow -4A + 16 - 4A + 1 - 3A = -16 \Rightarrow -11A = -33 \Rightarrow A = 3 $$ Luego $B = 4 - 3 = 1$ y $C = \dfrac{1 - 9}{2} = \dfrac{-8}{2} = -4 $ Así:
$$ \dfrac{4x^2 - 8x + 1}{x^3 - x + 6} = \dfrac{3}{x + 2} + \dfrac{x - 4}{x^2 - 2x + 3} $$ Si tomamos valores en (4) tenemos:

$ x = - 2 \Longrightarrow 33 = A 11 \Rightarrow A = 3 $

$ x = 0 \Longrightarrow 1 = 3A + 2C \Rightarrow 1 - 9 = 2C \Rightarrow -8 = 2C \Rightarrow C = -4 $

$ x = 1 \Longrightarrow -3 = 2A + (B + C)3 \Rightarrow -3 = 6 + 3B - 12 \Rightarrow 9 = 6 + 3B \Rightarrow 3 = 3B \Rightarrow B = 1 $


Ejemplo 7: $$ \dfrac{ 2x^2 - x + 4 }{ x^3 + 4x } $$
Solución Se tiene que la fracción se puede descomponer de la siguiente forma:
$$ \dfrac{2x^2 - x + 4}{ x^3 + 4x } = \dfrac{2x^2 - x + 4}{x \left( x^2 + 4 \right) } = \dfrac{A}{x} + \dfrac{Bx + C}{x^2 + 4} $$ De donde se obtiene multiplicando por el común denominador:
$$ 2x^2 - x + 4 = A(x^2 + 4) + (Bx + C)x \qquad (5) $$ $$ 2x^2 - x + 4 = Ax^2 + 4A + Bx^2 + Cx $$ $$ 2x^2 - x + 4 = x^2(A + B) + Cx + 4A$$ $$\left \{ \begin{array}{ll} A + B & = 2 \cr C & = -1 \cr 4A & = 4 \Rightarrow A = 1 \end{array} \right. $$ $$ A + B = 2 \Rightarrow \quad A = 1. $$ Por lo cual $$ \dfrac{2x^2 - x + 4}{x^3 + 4x} = \dfrac{1}{x} + \dfrac{x - 1}{x^2 + 4} $$
Si tomamos valores en (5)

$ x = 0 \Longrightarrow 4 = A 4 \Rightarrow A = 1 $

$ x = 1 \Longrightarrow 5 = A5 + (B + C) \Rightarrow B = -C $

$ x = -1 \Longrightarrow 7 = 5 - (-B + C) \Rightarrow 2 = -2C \Rightarrow C = -1 \Rightarrow B = 1$

Caso IV: El denominador $Q(x)$ contiene un factor irreductible repetido.

Si $Q(x)$ tiene un factor cuadrático repetido $k$ veces de la forma $\left ( ax^2 + bx + c \right )^{k}$, donde $b^2 - 4ac < 0$, entonces la descomposición en fracciones parciales contiene $k$ términos de la forma: $$ \dfrac{ A_{1} x + B_{1}}{ax^2 + bx + c} + \dfrac{A_{2}x + B_2}{\left( ax^2 + bx + c \right)^2} + \cdots + \dfrac{A_{k} x + B_k}{ \left ( ax^2 + bx + c \right)^k} $$ donde $A_1, A_2, \cdots, A_k,$ y $B_1, B_2, \cdots B_k$ son constantes.

Ejemplo 8: Descomponer en fracciones parciales $$ \dfrac{1 - x + 2x^2 - x^3}{x \left( x^2 + 1 \right)^2 } $$ Solución: La forma de descomponer esta division de polinimios en fracciones parciales es: $$ \dfrac{1 - x + 2x^2 - x^3}{ x \left( x^2 + 1 \right )^2 } = \dfrac{A}{x} + \dfrac{Bx + C}{x^2 + 1} + \dfrac{D x + E}{ \left( x^2 + 1 \right )^2 } $$ Multiplicando por $x \left( x^2 + 1 \right)^2$ y luego igualando coeficientes
$$ 1 - x + 2x^2 - x^3 = A( x^2 + 1)^2 + (Bx + C)x(x^2 + 1) + x(Dx + E) \qquad (6) $$ $$ 1 - x + 2x^2 - x^3 = A(x^4 + 2x^2 + 1) + (Bx + C)(x^3 + x) + Dx^2 + Ex $$ $$ 1 - x + 2x^2 - x^3 = A(x^4 + 2x^2 + 1) + Bx^4 + Bx^2 + Cx^3 + Cx + Dx^2 + Ex $$ $$ 1 - x + 2x^2 - x^3 = x^4(A + B) + x^3C + x^2(2A + B + D) + x(C + E) + A $$ se obtiene el siguiente sistema: $$\left \{ \begin{array}{ll} A + B & = 0 \cr C & = -1 \cr 2A + B + D & = 2 \cr C + E & = -1 \cr A & = 1 \cr \end{array} \right. $$ Cuya solución es: $ A = 1$, como $ B = -A \Rightarrow B = -1$, como $ C = -1 \Rightarrow E = 0$ y así $ D = 1 $.
Entonces $$ \dfrac{1 - x + 2x^2 - x^3 }{x \left ( x^2 + 1 \right )^2 } = \dfrac{1}{x} - \dfrac{x + 1}{x^2 + 1} + \dfrac{x}{\left( x^2 + 1 \right )^2 } $$
Tomando valores en (6) tenemos:
$ x = 0 \Longrightarrow 1 = A $

$ x = 1 \Longrightarrow 1 = 4A + 2(B + C) + (D + E) \Rightarrow - 3 = 2B + 2C + D + E $

$ x = -1 \Longrightarrow 5 = 4A - 2(B + C) - (-D + E) \Rightarrow 1 = 2B - 2C + D - E $

$ x = 2 \Longrightarrow -1 = 25A + 10(2B + C) + 2(2D + E) \Rightarrow -26 = 20B + 10C + 4D + 2E $

$ x = -2 \Longrightarrow 19 = 25A - 10(2B + C) - 2(-2D + E) \Rightarrow -6 = 20B - 10C + 4D - 2E $

se obtiene el siguiente sistema: $$\left \{ \begin{array}{ll} 2B + 2C + D + E & = -3 \cr 2B - 2C + D - E & = 1 \cr 20B + 10C + 4D + 2E & = -26 \cr 20B - 10C + 4D - 2E & = -6 \cr \end{array} \right. $$ Sumamos la $1^{\underline{a}}$ y $2^{\underline{a}}$ ecuación y tenemos: (a) $-1 = 2B + D$

Sumamos la $3^{\underline{a}}$ y $4^{\underline{a}}$ ecuación y tenemos: (b) $-4 = 5B + D$

Restamos $(a)$ y $(b): 3 = -3B \Rightarrow B = -1 \Rightarrow D = 1$

Restamos la $1^{\underline{o}}$ y $2^{\underline{a}}$ ecuación y tenemos: (c) $-2 = 2C + E$

Restamos la $3^{\underline{a}}$ y $4^{\underline{a}}$ ecuación y tenemos: (d) $-5 = 5C + E$

Restamos $(c)$ y $(d): 3 = -3C \Rightarrow C = -1 \Rightarrow E = 0$

Ejemplo 9: $$ \dfrac{x^3}{x^4 + 4x^2 + 4}$$ Solución La forma de descomponer esta division de polinimios en fracciones parciales es: $$ \dfrac{x^3}{x^4 + 4x^2 + 4} = \dfrac{Ax + B}{x^2 + 2} + \dfrac{Cx + D}{ (x^2 + 2)^2 } $$
Multiplicando por el mínimo común múltiplo y luego igualando coeficientes
$$ x^3 = (Ax + B)(x^2 + 2) + (Cx + D) \qquad (7) $$
$$ x^3 = Ax^3 + 2Ax + Bx^2 + 2B + Cx + D $$
$$ x^3 = Ax^3 + Bx^2 + x(2A + C) + 2B + D $$
se obtiene el siguiente sistema: $$\left \{ \begin{array}{ll} A & = 1 \cr B & = 0 \cr 2A + C & = 0 \Rightarrow C = -2\cr 2B + D & = 0 \Rightarrow D = 0 \cr \end{array} \right. $$ En este caso no merece la pena tomar valores en $x$, pero ser puede hacer sin problemas.

Iremos actualizando esta sección con los ejercicios que nos pidáis, para ello podéis mandar un correo a profesor.maties@gmail.com